聚醚系列(Polyether Series)

  • MORE
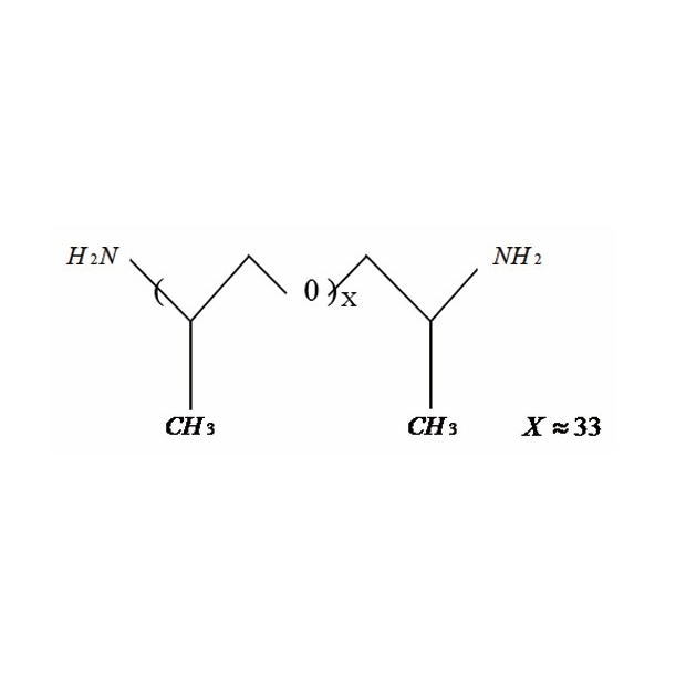
    聚醚胺 ZT-143

    聚醚胺 ZT-143

    中文名稱:聚醚胺 ZT-143
    CAS: 39423-51-3
    分子量: 440
    應用:環氧樹脂固化劑 / 聚氨酯防流掛劑
  • MORE
    聚醚胺ZD-1200

    聚醚胺ZD-1200

    中文名稱: 聚醚胺ZD-1200
    英文名稱: POLYETHER AMINE ZD-1200
    CAS: 9046-10-0
    分子量:2000
    應用:聚脲與RIM主要配方,環氧系統中增加柔韌性的共聚反應物
  • MORE
    雙酚A聚醚多元醇

    雙酚A聚醚多元醇

    中文名稱: 雙酚A聚醚多元醇
    英文名稱: Bisphenol A Polyether Polyol(BPA, Bisphenol A, propoxylated / ethoxylated)
  • MORE
    烯丙基聚醚多元醇

    烯丙基聚醚多元醇

    中文名稱: 烯丙基聚醚多元醇
    英文名稱: Allyl Polyether Polyol (Allyl alcohol, propoxylated / ethoxylated)
    CAS:
  • MORE
    1-丁醇聚醚多元醇

    1-丁醇聚醚多元醇

    中文名稱: 1-丁醇聚醚多元醇
    英文名稱: 1-Butanol Polyether Polyol (Oxirane, 2-methyl-, polymer with oxirane, monobutyl ether)