Polyetheramine

POLYETHER AMINE ZD-1200

POLYETHER AMINE ZD-1200

Product name: POLYETHER AMINE ZD-1200
CAS: 9046-10-0
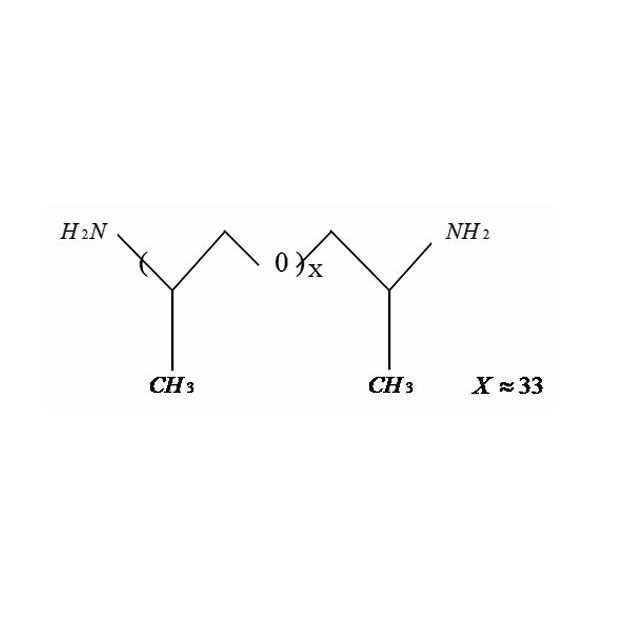
Molecular Weight: 2000
Applications: Main formulations for polyurea and RIM, copolymers that increase flexibility in epoxy systems.
DETAIL

Polyether Amine ZD-1200

  • Product Name: Polyether Amine ZD-1200
  • English Name: Polyether Amine ZD-1200
  • CAS Number: 9046-10-0
  • Molecular Weight: Approx. 2000

Polyether Amine ZD-1200 is a high-molecular-weight, bifunctional reactive amine with a primary amine structure. It is primarily applied in Polyurea, Reaction Injection Molding (RIM), and epoxy resin systems requiring enhanced flexibility. Its polyether backbone provides cured materials with excellent elasticity and stress dissipation capabilities.

Due to its long molecular chain segments, ZD-1200 can effectively improve the softness and peel resistance of materials within resin reaction systems while maintaining structural integrity. Its low color and low vapor pressure characteristics also contribute to improved formulation stability and the appearance quality of the final product.

Material Features

  • Bifunctional primary amine structure with reactivity and structural adjustment capabilities
  • High-molecular-weight polyether backbone helps enhance flexibility and toughness
  • Low color and low volatility, suitable for industrial manufacturing applications
  • Improves peel strength and stress resistance of the material

Main Applications

  • Primary formulation component for Polyurea and RIM systems
  • Flexibility-modifying co-reactant in epoxy resin systems
  • Industrial coatings, adhesives, and elastomeric materials
  • Polymer applications requiring a balance of structural strength and elongation

※ Note: Actual application and formulation should be professionally evaluated based on specific needs. TRIOCHEM offers expert material consulting and technical support services to assist your development.