Polyether Series

  • Read More
    聚醚胺 ZT-143

    Polyetheramine ZT-143

    Product name: Polyetheramine ZT-143
    CAS: 39423-51-3
    Molecular Weight: 440
  • Read More
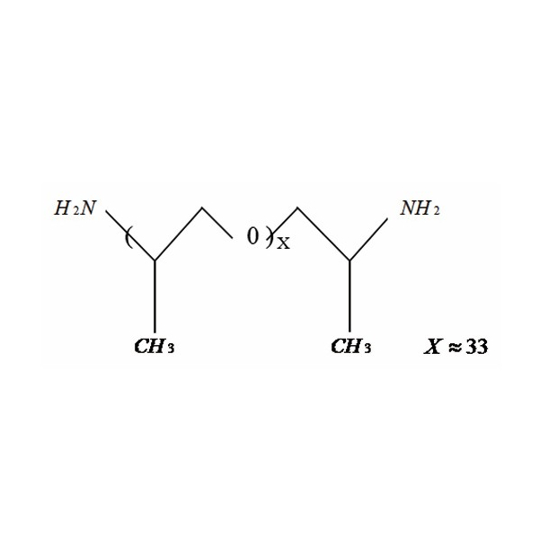
    聚醚胺ZD-1200

    POLYETHER AMINE ZD-1200

    Product name: POLYETHER AMINE ZD-1200
    CAS: 9046-10-0
    Molecular Weight: 2000
    Applications: Main formulations for polyurea and RIM, copolymers that increase flexibility in epoxy systems.
  • Read More
    雙酚A聚醚多元醇

    Bisphenol A Polyether Polyol

    Product name: Bisphenol A Polyether Polyol(BPA, Bisphenol A, propoxylated / ethoxylated)
  • Read More
    烯丙基聚醚多元醇

    Allyl Polyether Polyol

    Product name: Allyl Polyether Polyol (Allyl alcohol, propoxylated / ethoxylated)
  • Read More
    1-丁醇聚醚多元醇

    1-Butanol Polyether Polyol

    Product name: 1-Butanol Polyether Polyol (Oxirane, 2-methyl-, polymer with oxirane, monobutyl ether)